Changer de langue :
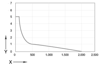
* Hypothèse : la masse à déplacer se trouve au maximum dans un cercle circonscrit avec R = 100 mm par rapport au centre du rail de guidage, couple max. autorisé, version 01 : 1,3 Nm, a = 0 m/s² ; version 02 : 2,4 Nm, a = 0 m/s² ; déplacement constant, sans accélération notable
* Hypothèse : la masse à déplacer se trouve au maximum dans un cercle circonscrit avec R = 100 mm par rapport au centre du rail de guidage, couple max. autorisé, version 01 : 1,3 Nm, a = 0 m/s² ; version 02 : 2,4 Nm, a = 0 m/s² ; déplacement constant, sans accélération notable
* Hypothèse : la masse à déplacer se trouve au maximum dans un cercle circonscrit avec R = 100 mm par rapport au centre du rail de guidage, couple max. autorisé, version 01 : 1,3 Nm, a = 0 m/s² ; version 02 : 2,4 Nm, a = 0 m/s² ; déplacement constant, sans accélération notable

En personne :
Du lundi au vendredi de 8h à 20h. Le samedi de 8h à 12h à Cologne en Allemagne
En ligne :
24h/24